YouTuber and PTI social media activist Haider Saeed has been sent to jail on judicial remand for a series of tweet against the state and for inciting the public.
Haider Saeed was detained by law enforcing agencies in Dahgal Naka area, near the Adiala Jail on Monday night for allegedly filming the convoy of jailed former PM Imran Khan while he was being taken to the PIMS hospital for a follow up eye checkup.
Haider was caught filming the movement of the convoy from Adiala Jail to PIMS hospital.
According to PTI media activists, Haider Saeed, known as “804,” was detained by Rawalpindi police late Monday near Dahgal Naka close to Adiala Jail. The arrest came after he shared a video of a secured convoy moving Imran Khan from PIMS back to jail.
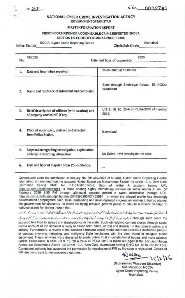
However, an FIR was registered by the NCCIA under the PECA act against the PTI social media activist for inciting the public against the state in a series of tweet.

On Wednesday, Haider was presented before the court, in which NCCIA sought eight-day physical remand of the YouTuber. However Judicial Magistrate Islamabad Abbas Shah refusing the NCCIA request for remand has sent him to jail on judicial remand.




